童教桌遊研究院(憶童趣教遊)
跳到主文
研究員怪e紅傑克由桌上遊戲談兒童心智教育
部落格全站分類:
婚姻育兒
相簿
部落格
留言
名片
Jul
01
Tue
2014
20:18
讀書報告
close
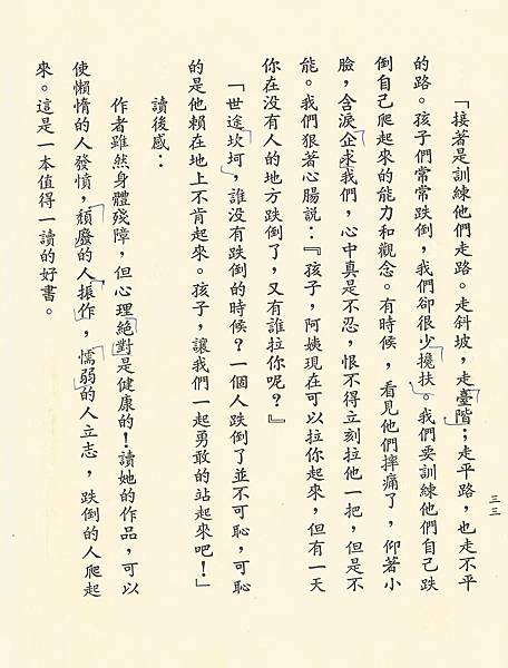
節錄自「72年國立編譯館本」國民小學國語課本第十一冊(六上)
全站熱搜
創作者介紹
怪e紅傑克
童教桌遊研究院(憶童趣教遊)
怪e紅傑克 發表在
痞客邦
留言
(0)
人氣(
)
E-mail轉寄
留言列表
發表留言
我的連結
中華職棒言舊苑
流行音樂言舊苑
紙上遊戲言舊苑(紙證歷歷)
站方公告
[公告] PIXwallet 系統維護通知(維護完畢)
[公告] PIXNET 刪除長期未登入帳號通知
[公告] 「行動管家」APP 已於 2024 年 5 月 22 日下架
活動快報
痞客邦...
看更多活動好康
熱門文章
文章分類
桌遊導引 (6)
新聞報導 (604)
淺談雜論 (12)
各類排行 (223)
國際獎項 (231)
推廣交流 (14)
產鏈結構 (0)
桌遊拾穗 (10)
專注記憶 (13)
觀察辨識 (13)
推理判斷 (13)
分析預測 (13)
應變取捨 (13)
組織規劃 (13)
模擬想像 (13)
語創表達 (13)
圖創表達 (13)
肢創表達 (13)
桌遊選粹 (10)
擲骰博運 (13)
下棋對弈 (13)
打牌對決 (13)
麻將較勁 (13)
走格繞圈 (13)
闖宮過關 (13)
堆積疊放 (13)
排列順序 (13)
版圖拼湊 (13)
連塊拼組 (13)
桌遊來了 (10)
體感互動 (13)
反應協調 (13)
角色扮演 (13)
默契考驗 (13)
即興表演 (13)
猜測問答 (13)
心機鬥智 (13)
惡搞整人 (13)
聯想解謎 (13)
歌舞競技 (13)
桌遊集錦 (10)
團隊合作 (13)
陣營對抗 (13)
存亡競爭 (13)
PK對戰 (13)
危機處理 (13)
溝通協調 (13)
行動規劃 (13)
經營管理 (13)
目標策畫 (13)
領導統御 (13)
桌遊捕軼 (12)
歷史景觀 (13)
神話傳說 (13)
風土民情 (13)
數理科技 (13)
美食旅遊 (12)
環境生態 (13)
動物奇觀 (12)
生活時事 (13)
運動體育 (12)
文學藝術 (13)
童話寓言 (12)
投資理財 (12)
桌遊金典 (8)
傳統古典 (13)
復刻經典 (13)
懷舊盛典 (13)
傳奇寶典 (13)
宗節慶典 (13)
華夏勝典 (13)
情境風典 (7)
意境流典 (13)
心智培養 (7)
左腦開發 (30)
右腦開發 (52)
行為觀察 (12)
智能鍛鍊 (12)
性情陶冶 (1058)
語文強化 (601)
語音學習 (247)
心智啟發 (6)
品德觀摩 (13)
智慧借鏡 (13)
自我修練 (13)
應對進退 (13)
自我培養 (13)
待人處世 (13)
身心發展 (4)
肢體運用 (115)
手腦協調 (413)
體格鍛鍊 (60)
心情調適 (135)
最新文章
最新留言
文章精選
文章精選
2025 十一月 (17)
2025 十月 (31)
2025 九月 (30)
2025 八月 (31)
2025 七月 (31)
2025 六月 (30)
2025 五月 (31)
2025 四月 (30)
2025 三月 (31)
2025 二月 (28)
2025 一月 (31)
2024 十二月 (31)
2024 十一月 (30)
2024 十月 (31)
2024 九月 (30)
2024 八月 (31)
2024 七月 (31)
2024 六月 (30)
2024 五月 (31)
2024 四月 (30)
2024 三月 (31)
2024 二月 (29)
2024 一月 (31)
2023 十二月 (31)
2023 十一月 (30)
2023 十月 (31)
2023 九月 (30)
2023 八月 (31)
2023 七月 (31)
2023 六月 (30)
2023 五月 (31)
2023 四月 (30)
2023 三月 (31)
2023 二月 (28)
2023 一月 (21)
2022 十二月 (31)
2022 十一月 (30)
2022 十月 (31)
2022 九月 (30)
2022 八月 (31)
2022 七月 (31)
2022 六月 (30)
2022 五月 (31)
2022 四月 (30)
2022 三月 (31)
2022 二月 (28)
2022 一月 (31)
2021 十二月 (31)
2021 十一月 (30)
2021 十月 (31)
2021 九月 (30)
2021 八月 (31)
2021 七月 (31)
2021 六月 (30)
2021 五月 (31)
2021 四月 (30)
2021 三月 (31)
2021 二月 (28)
2021 一月 (31)
2020 十二月 (31)
2020 十一月 (30)
2020 十月 (31)
2020 九月 (30)
2020 八月 (31)
2020 七月 (31)
2020 六月 (30)
2020 五月 (31)
2020 四月 (30)
2020 三月 (31)
2020 二月 (29)
2020 一月 (31)
2019 十二月 (31)
2019 十一月 (30)
2019 十月 (31)
2019 九月 (30)
2019 八月 (31)
2019 七月 (31)
2019 六月 (30)
2019 五月 (31)
2019 四月 (30)
2019 三月 (31)
2019 二月 (28)
2019 一月 (31)
2018 十二月 (31)
2018 十一月 (30)
2018 十月 (31)
2018 九月 (30)
2018 八月 (31)
2018 七月 (31)
2018 六月 (30)
2018 五月 (31)
2018 四月 (30)
2018 三月 (31)
2018 二月 (28)
2018 一月 (31)
2017 十二月 (30)
2017 十一月 (30)
2017 十月 (31)
2017 九月 (30)
2017 八月 (31)
2017 七月 (31)
2017 六月 (30)
2017 五月 (31)
2017 四月 (30)
2017 三月 (31)
2017 二月 (28)
2017 一月 (31)
2016 十二月 (31)
2016 十一月 (30)
2016 十月 (31)
2016 九月 (30)
2016 八月 (31)
2016 七月 (31)
2016 六月 (30)
2016 五月 (31)
2016 四月 (30)
2016 三月 (31)
2016 二月 (29)
2016 一月 (31)
2015 十二月 (31)
2015 十一月 (30)
2015 十月 (31)
2015 九月 (30)
2015 八月 (31)
2015 七月 (31)
2015 六月 (30)
2015 五月 (31)
2015 四月 (30)
2015 三月 (31)
2015 二月 (28)
2015 一月 (31)
2014 十二月 (31)
2014 十一月 (30)
2014 十月 (31)
2014 九月 (30)
2014 八月 (31)
2014 七月 (31)
2014 六月 (30)
2014 五月 (31)
2014 四月 (30)
2014 三月 (31)
2014 二月 (28)
2014 一月 (31)
2013 十二月 (31)
2013 十一月 (30)
2013 十月 (31)
2013 九月 (30)
2013 八月 (31)
2013 七月 (31)
2013 六月 (30)
2013 五月 (31)
2013 四月 (30)
2013 三月 (31)
2013 二月 (28)
2013 一月 (4)
所有文章列表
文章搜尋
新聞交換(RSS)
誰來我家
參觀人氣
本日人氣:
累積人氣:
QR Code
POWERED BY
(登入)
關閉視窗